
往期经典
往期资料可以进群领取:往期资料如何领取,请加会员群@
【领取链接】
https://pan.quark.cn/s/820ed9049c03
【往期试卷可以自行搜索、领取链接可以点下方阅读原文】












(进群+电子试卷及解析)
欢迎添加高中数学QQ交流群:
159201676(高考1群)(会员1群)
1057169738(会员2群)
链接失效,进会员群,商务合作,可以加微信: mathtsy
(会员群,费用56)公众号资料都会更新到会员群
1058953831(高考2群)(公益)
826296359 (高一高二群)(公益)

【优质资料可以在下方联系打印,有包邮服务】

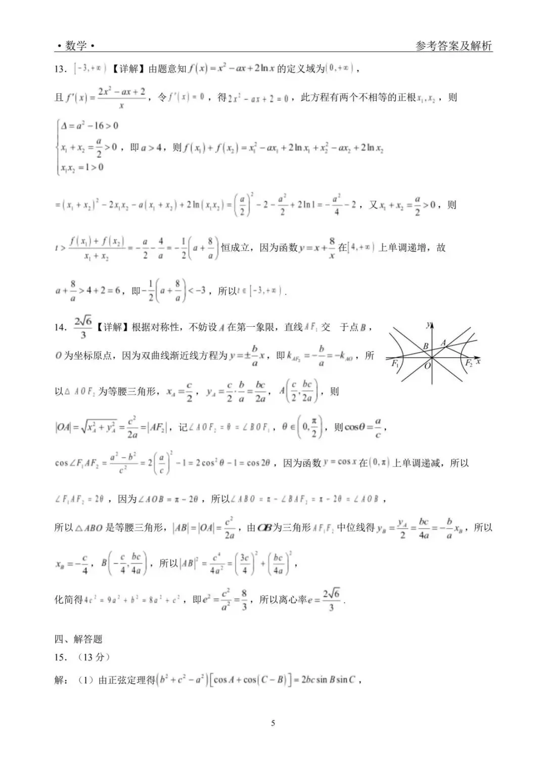
点击阅读原文👇👇获取电子版