


专注科研一对一全流程教学
咨询微信:wzp1670423539





1.1 研究背景
代谢功能障碍,如肥胖、高血压、高血糖、血脂异常等,在年轻和中年成年人中日益普遍。这些危险因素不仅增加心血管疾病和糖尿病的远期风险,还严重影响个体的生活质量和健康预期寿命。健康促进生活方式(包括合理饮食、规律运动、压力管理、健康责任等)是预防和管理代谢问题的核心策略。
然而,尽管多数人知晓健康生活方式的重要性,实际执行率却很低。因此,识别影响健康促进生活方式的可改变因素(如知识、自我效能、社会支持、心理健康状态等),对于制定针对性的干预措施具有重要意义。既往研究多关注单一因素或使用传统回归分析,忽略了各因素之间复杂的相互作用网络。网络分析作为一种新兴方法,能够揭示变量之间的相互关系,并识别出在网络中处于核心位置的“关键节点”,从而为干预提供精准靶点。
1.2 研究目的
本研究旨在通过横断面调查,识别存在代谢危险因素的年轻和中年成年人健康促进生活方式的影响因素。具体目标包括:1)评估知识、自我效能、社会支持、抑郁、焦虑与健康促进生活方式各维度(饮食、压力管理、体力活动等)的回归关系;2)通过网络分析,构建这些因素之间的相互作用网络,识别核心和桥接因素,为制定精准干预策略提供依据。

2.1 研究设计
本研究为横断面研究设计,于2022年10月至2024年4月期间,采用便利抽样法从中国社区卫生中心招募参与者。
2.2 研究对象
纳入标准为:年龄18-59岁;存在至少一项代谢危险因素(如超重/肥胖、高血压、高血糖、血脂异常);知情同意。排除标准为:已确诊心脑血管疾病、严重肝肾功能不全、精神疾病等。最终纳入402名存在代谢危险因素的年轻和中年成年人。
2.3 测量工具
代谢综合征知识量表:评估参与者对代谢综合征的定义、危险因素、预防措施等的了解程度,得分越高表示知识越丰富。
健康实践能力自评量表:评估自我效能,即个体对自己采取健康行为能力的信心,得分越高表示自我效能越强。
社会支持评定量表:评估客观支持、主观支持和社会支持利用度,得分越高表示社会支持越好。
医院焦虑抑郁量表:包含焦虑分量表(HADS-A)和抑郁分量表(HADS-D),得分越高表示焦虑/抑郁程度越重。
健康促进生活方式量表II(HPLP-II):评估健康促进生活方式,包含营养、体力活动、压力管理、健康责任、人际关系、精神成长等维度。本研究重点关注饮食行为、压力管理和体力活动三个维度。
2.4 数据分析方法
描述性统计:计算各量表得分的均值±标准差。
回归分析:分别以饮食行为、压力管理、体力活动为因变量,以知识、自我效能、社会支持、抑郁、焦虑为自变量,校正年龄、性别、教育程度等协变量,进行多元线性回归分析。输出标准化回归系数(β)及p值。
网络分析:将知识、自我效能、社会支持、抑郁、焦虑以及健康促进生活方式各维度(或总分)作为节点,采用高斯图模型(GGM)构建偏相关网络。计算节点的强度中心性(Strength)和桥接中心性(Bridge Strength),识别网络中的核心节点(强度最大)和桥接节点(连接不同模块的节点)。使用R软件的qgraph和bootnet包进行分析。

2.5 软件实现
使用SPSS 26.0进行回归分析,使用R 4.2的qgraph、bootnet包进行网络分析和可视化。

3.1 样本特征与得分情况
共纳入402名参与者。各量表平均得分分别为:代谢综合征知识28.01分(SD=12.31),社会支持39.81分(SD=7.52),抑郁4.60分(SD=3.25),焦虑5.22分(SD=3.50),自我效能65.92分(SD=22.43),健康促进生活方式总分58.25分(SD=7.52)。

总体而言,知识水平中等偏低,自我效能和健康促进生活方式处于中等水平,抑郁和焦虑程度较轻。

3.2 回归分析结果
校正年龄、性别、教育等协变量后,多元线性回归显示:
饮食行为:知识(β=0.176,P<0.001)和自我效能(β=0.299,P<0.001)是显著的独立预测因素。即知识越丰富、自我效能越高,饮食行为越健康。
压力管理:社会支持(β=0.099,P=0.027)、抑郁(β=-0.181,P<0.001)和自我效能(β=0.434,P<0.001)显著影响压力管理。社会支持越好、自我效能越高,压力管理越好;抑郁程度越重,压力管理越差。

体力活动:自我效能是唯一显著的预测因素(β=0.485,P<0.001)。即自我效能越高,体力活动水平越高。
焦虑在任何回归模型中均未达到统计学显著性(可能因与抑郁高度共线或效应被抑郁掩盖)。

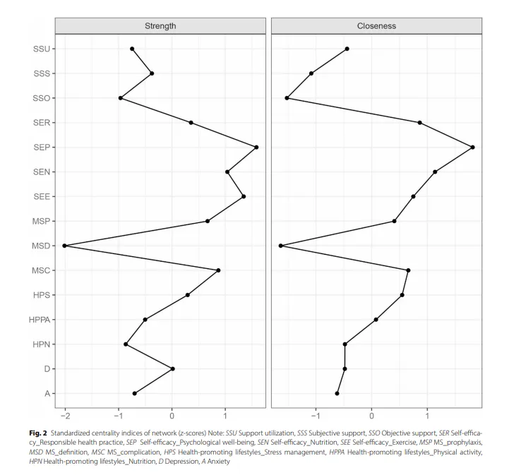
3.3 网络分析结果
网络分析构建了包含知识、自我效能、社会支持、抑郁、焦虑、饮食行为、压力管理、体力活动等节点的网络。网络结构显示:

核心节点:自我效能(尤其是“心理健康自我效能”维度)的强度中心性最高,表明它在网络中与最多其他节点直接关联,是最核心的因素。
桥接节点:自我效能同样具有较高的桥接中心性,连接了心理健康(抑郁、焦虑)与健康行为(饮食、体力活动、压力管理)两个模块。
其他节点(如知识、社会支持)的中心性相对较低,但它们通过自我效能间接影响健康行为。

网络分析的结果与回归分析一致,但进一步揭示了各因素之间的相互作用模式:自我效能不仅是健康行为的独立预测因素,还是连接心理健康和健康行为的“桥梁”。因此,干预自我效能可能同时改善心理健康和促进健康行为,产生最广泛的网络效应。

3.4 敏感性分析
采用Bootstrap重抽样(1000次)验证网络稳定性,相关性稳定系数(CS系数)>0.5,表明中心性排序可靠。


4.1 主要发现及其意义
本研究首次综合运用回归分析和网络分析,探讨了存在代谢危险因素的年轻和中年成年人健康促进生活方式的影响因素。主要发现包括:
知识是饮食行为的重要预测因素:知识水平越高,饮食行为越健康。这提示健康教育(如代谢综合征知识科普)对于改善饮食具有直接效果。
社会支持促进压力管理:良好的社会支持(家庭、朋友、社区)有助于个体有效应对压力,从而减少不良应对行为(如情绪性进食、吸烟、饮酒)。
抑郁是压力管理的障碍:抑郁程度越重,压力管理能力越差,形成恶性循环。
自我效能是贯穿饮食、压力管理和体力活动的核心预测因素:无论哪个健康行为维度,自我效能都是最强或次强的预测因子。
网络分析揭示自我效能的核心和桥接作用:自我效能不仅与健康行为直接相关,还连接了抑郁、焦虑等心理因素与健康行为。这意味着改善自我效能可能同时缓解心理困扰并促进健康行为改变。
这些发现具有重要的实践价值:传统的干预往往只关注知识传递(如健康讲座),但本研究强调自我效能是更关键的靶点。自我效能可以通过目标设定、行为演练、成功体验、榜样示范等方式提升。此外,对于抑郁程度较高的个体,应先处理情绪问题,再开展行为干预,否则压力管理难以奏效。
4.2 与既往研究的比较
既往研究已证实自我效能与健康行为正相关、抑郁与健康行为负相关,但本研究首次通过网络分析量化了自我效能的“中心性”和“桥接性”,并揭示了它在心理因素与行为之间的中介作用。这与社会认知理论(Bandura)一致——自我效能是行为改变的核心驱动力。
4.3 临床与公共卫生启示
优先干预自我效能:在代谢危险因素人群中,应设计提升自我效能的干预方案,如小组讨论、行为演练、目标设定、自我监测等。
整合心理健康支持:由于抑郁会损害压力管理,且自我效能桥接心理健康与行为,建议将心理健康服务(如认知行为疗法)纳入生活方式干预项目。
知识传播不可忽视:虽然自我效能更重要,但知识仍是饮食行为的独立预测因素,健康教育应继续开展。
加强社会支持:社区可建立同伴支持小组或家庭参与计划,帮助个体应对压力。
4.4 研究优势与局限性
优势:
首次结合回归分析和网络分析,方法互补。
样本为社区存在代谢危险因素的人群,具有现实意义。
涵盖了知识、自我效能、社会支持、心理因素等多个维度。
局限性:
横断面设计,无法确定因果关系(如自我效能是健康行为的原因还是结果)。
便利抽样,可能存在选择偏倚。
自评量表可能存在社会期望偏倚。
未纳入客观行为指标(如加速度计测量的体力活动)。
4.5 未来研究方向
开展纵向研究,验证自我效能、知识与健康行为的时间顺序。
基于本研究的网络分析结果,设计针对自我效能的干预方案,并开展随机对照试验评估效果。
使用客观测量(如可穿戴设备)验证自我效能对体力活动的实际影响。
在不同人群(如糖尿病患者、肥胖人群)中验证网络结构的普适性。

本研究通过对402名存在代谢危险因素的年轻和中年成年人的横断面调查,采用回归分析和网络分析,得出以下结论:
知识(β=0.176)和自我效能(β=0.299)是饮食行为的独立预测因素。
社会支持(β=0.099)、抑郁(β=-0.181)和自我效能(β=0.434)是压力管理的显著预测因素。
自我效能(β=0.485)是体力活动的唯一显著预测因素。
网络分析表明,自我效能是影响健康促进生活方式的核心和桥接因素,连接了心理健康与健康行为。
因此,在制定针对代谢危险因素人群的生活方式干预策略时,应优先考虑提升自我效能(尤其是心理健康自我效能)。同时,应关注抑郁情绪和社会支持的作用。本研究为精准化、多层面的健康促进提供了科学依据。
1.1 选择研究主题
背景研究:阅读关于代谢危险因素(肥胖、高血压、高血糖等)和健康促进生活方式(饮食、运动、压力管理)的文献。您会发现:很多研究只分析单一因素(如自我效能),或只用回归分析,忽略了因素间的复杂网络。这就是研究空白。
明确目的:确定研究目标,例如:识别年轻和中年代谢危险因素人群健康促进生活方式的影响因素(知识、自我效能、社会支持、抑郁、焦虑),并构建它们之间的网络,找出核心因素。这为精准干预提供靶点。
2.1 选择研究类型
横断面研究设计:
在单一时间点收集所有变量的数据(一次性问卷)。
优点:快速、成本低,适合初步探索关联和网络结构。
缺点:不能确定因果关系。
2.2 确定研究参与者
样本选择:
采用便利抽样法,从社区卫生中心招募存在代谢危险因素(如超重、高血压、高血糖、血脂异常)的年轻和中年成年人(18-59岁)。本研究纳入402人。样本量要求:回归分析需至少10-20倍于自变量数;网络分析需至少200-300人。402人充足。
2.3 变量的选择与测量
结局变量:健康促进生活方式(使用健康促进生活方式量表II,评估饮食、体力活动、压力管理、健康责任等维度)。
预测变量:
知识(代谢综合征知识量表)
自我效能(健康实践能力自评量表)
社会支持(社会支持评定量表)
抑郁(医院焦虑抑郁量表-抑郁分量表)
焦虑(医院焦虑抑郁量表-焦虑分量表)
协变量:年龄、性别、教育程度、收入等。
3.1 数据获取
设计问卷(包含所有量表),通过社区卫生中心现场或线上发放。
确保匿名,减少社会期望偏倚。
3.2 数据整理
清洗数据:剔除回答不完整或明显乱答的问卷。
计算每个量表的总分或维度分(如饮食行为得分、压力管理得分、体力活动得分)。
检查缺失值:少量缺失可用均值填补,过多则剔除。
将数据整理为SPSS或R可读的格式(每行一个参与者,每列一个变量)。
4.1 描述性统计
计算各变量的均值、标准差、频数、百分比,了解样本基本情况。
4.2 多元线性回归分析
目的:分别找出饮食行为、压力管理、体力活动的独立预测因素。
步骤:
以饮食行为得分为因变量,以知识、自我效能、社会支持、抑郁、焦虑为自变量,同时放入回归模型,校正年龄、性别、教育等协变量。
同样方法,分别以压力管理和体力活动为因变量。
输出:标准化回归系数(β)和p值。β表示自变量每增加1个标准差,因变量变化多少标准差。β为正表示正相关,为负表示负相关。p<0.05表示显著。
软件:SPSS(线性回归菜单)。
5.1 为什么用网络分析?
回归分析只能看每个自变量对因变量的“独立”影响,但自变量之间也可能相互关联(例如,抑郁可能降低自我效能)。网络分析可以揭示这些变量之间的复杂关系,并找出哪个变量在网络中最核心。
5.2 构建网络
节点:知识、自我效能、社会支持、抑郁、焦虑、饮食行为、压力管理、体力活动等。
边:两个节点之间的偏相关系数(控制其他节点后的独特关联)。使用高斯图模型(GGM)估计,并用LASSO正则化修剪弱边。
软件:R的qgraph和bootnet包。
5.3 计算中心性指标
强度中心性:一个节点所有边权重的绝对值之和。值越大,该节点在网络中越核心,与越多其他节点直接相连。
桥接中心性:一个节点连接不同“社区”(如心理因素社区和行为社区)的能力。桥接值越高,说明该节点在连接心理健康和健康行为中起桥梁作用。
5.4 稳定性检验
使用Bootstrap重抽样(1000次)计算边权重的置信区间和中心性指标的相关性稳定系数(CS系数),要求CS系数>0.5。
5.5 结果解读
核心节点:强度最大的节点(本研究为自我效能)。
桥接节点:桥接中心性最高的节点(本研究也为自我效能)。
6.1 主要发现
回归分析:知识、自我效能预测饮食;社会支持、抑郁、自我效能预测压力管理;自我效能预测体力活动。
网络分析:自我效能是网络的核心和桥接因素。
6.2 统计显著性
回归分析中,p<0.05表示该因素显著。
网络分析中,CS系数>0.5表示中心性排序可靠。
6.3 临床意义
干预应优先提升自我效能,因为它既是多个健康行为的预测因素,又连接心理健康与行为。
同时关注知识(健康教育)、社会支持(同伴支持)和抑郁(心理疏导)。
7.1 讨论要点
机制:自我效能理论(Bandura)——相信自己能行,才会去行动。
与既往比较:验证了自我效能的核心作用,并首次用网络分析量化。
局限性:横断面不能因果;便利抽样;自评偏倚。
7.2 未来方向
纵向研究验证因果;干预研究(提升自我效能);客观行为测量。
8.1 撰写报告
遵循STROBE(横断面研究)声明。方法部分详细报告回归模型和网络分析参数(LASSO、稳定性)。结果包括回归系数表、网络图、中心性指标表。
8.2 期刊选择
健康心理学、护理学、公共卫生类,如 Health Psychology、Journal of Advanced Nursing、BMC Public Health。

1.1 横断面研究设计
定义:在单一时间点收集所有变量的数据,通过问卷一次性测量知识、自我效能、社会支持、抑郁、焦虑和健康促进生活方式。
特点:
相关性检查:适合探索变量之间的关联,但无法确定因果关系(例如,自我效能高是因为健康行为好,还是健康行为好是因为自我效能高?不能区分先后)。
优点:快速、成本低,适合初步探索影响因素和网络结构。
缺点:不能推断因果方向,且可能存在共同方法偏差(所有数据来自同一份问卷)。

2.1 连续变量
定义:取值在一定范围内可以连续变化的变量。本研究中所有量表得分(如知识得分、自我效能得分等)均视为连续变量,用于回归分析和网络分析。
2.2 标准化回归系数(β)
定义:将自变量和因变量都标准化(减去均值除以标准差)后计算的回归系数。β的取值范围在-1到1之间,绝对值越大表示影响越大。β的正负表示方向(正相关或负相关)。
与未标准化系数的区别:未标准化系数(B)依赖于变量的原始单位,不同变量不可比;标准化系数(β)去除了单位影响,可以直接比较哪个自变量对因变量的影响更大。
本研究应用:在回归分析中,知识对饮食行为的β=0.176,自我效能对饮食行为的β=0.299,说明自我效能的影响大于知识。
2.3 p值
定义:衡量结果是否由随机误差造成的概率。通常p<0.05表示结果具有统计学显著性,即该因素与结局的关联不太可能是偶然发生。
本研究应用:所有报告的β对应的p值均<0.05或<0.001,表示这些因素是显著的预测因子。

3.1 多元线性回归
定义:研究一个连续因变量(如饮食行为得分)与多个自变量(如知识、自我效能等)之间线性关系的统计方法。它可以估计每个自变量的独立贡献,同时控制其他自变量的影响。
模型形式:因变量 = β₀ + β₁×X₁ + β₂×X₂ + ... + ε。其中β为回归系数。
3.2 协变量校正
定义:在回归模型中同时纳入年龄、性别、教育等“混杂变量”,以排除它们对因变量的影响,从而得到自变量与因变量之间的“净关联”。
为什么需要校正? 例如,自我效能可能随年龄变化,而年龄也影响健康行为。如果不校正年龄,会错误地将年龄的影响归因于自我效能。
本研究应用:回归分析中校正了年龄、性别、教育程度等协变量,报告的是校正后的β。
3.3 多重共线性
定义:自变量之间高度相关,导致回归系数估计不稳定、标准误增大。例如,抑郁和焦虑往往高度相关,如果同时放入模型,可能两者都不显著。
本研究处理:回归分析中焦虑未显著,可能与抑郁共线性有关;网络分析可以更好地处理这种相关性。

4.1 节点(Node)
定义:网络中的基本单位,代表一个变量。本研究中节点包括知识、自我效能、社会支持、抑郁、焦虑、饮食行为、压力管理、体力活动等。
4.2 边(Edge)
定义:连接两个节点的线,代表两个变量之间的偏相关系数(控制其他所有节点后的独特关联)。边有粗细(权重)和方向(正或负)。粗线表示强关联,绿色(或蓝色)边表示正相关,红色边表示负相关。
4.3 偏相关系数
定义:在排除其他所有变量影响后,两个变量之间的净相关。例如,自我效能与饮食行为的偏相关,是在控制知识、社会支持、抑郁等其他变量后的关联。
与普通相关的区别:普通相关可能受第三变量影响;偏相关能反映直接关系。
4.4 LASSO正则化
定义:一种“修剪”技术,将弱相关的边系数强制变为0,只保留较强的边,从而得到稀疏、简洁、稳定的网络。避免过拟合(即模型在当前样本表现好,换样本就变差)。
4.5 强度中心性(Strength Centrality)
定义:一个节点所有边权重的绝对值之和。强度越大,该节点与越多其他节点有直接连接,且连接强度越大。在网络中,强度高的节点通常扮演“核心”角色,干预它可能产生最广泛的网络效应。
本研究结果:自我效能的强度中心性最高,表明它是影响健康促进生活方式的核心因素。
4.6 桥接中心性(Bridge Centrality)
定义:衡量一个节点连接不同“社区”(如心理因素社区和行为社区)的能力。桥接中心性高的节点在网络中起“桥梁”作用,连接两个原本联系较弱的模块。
本研究结果:自我效能的桥接中心性也较高,说明它连接了心理健康(抑郁、焦虑)与健康行为(饮食、运动、压力管理)。
4.7 网络稳定性检验
定义:评估网络估计是否可靠,即换一批样本后,中心性排序是否稳定。
方法:Bootstrap重抽样(重复1000次),计算相关性稳定系数(CS系数)。CS系数是保持中心性排序与原始排序相关系数大于0.7时,能丢弃的最大样本比例。要求CS系数>0.5(最好>0.7)。
本研究:CS系数>0.5,说明中心性排序可靠。
祝大家发文顺利,有什么不懂可以在评论区留言,吴老师尽量解答!零基础的同学可以咨询一对一辅导,快速发表SCI文章!
吴老师微信:wzp1670423539
还在担心没有SCI论文,缺少竞争力?找专人学习、快速发表人生第一篇SCI,点⬇️链接报名咨询!
0基础发护理SCI!一对一全程教学指导(教到发表模式)招生报名!
护研SCI专注护士SCI论文一对一指导,让每个护士都学会从0到1发表SCI!
我们定期解读优质文献,分享文章的具体思路和方法学。此外,我们面向护士提供高端一对一科研线上辅导,让零基础的普通人快速学会从0到1发表临床科研SCI论文。




感兴趣请扫描文末吴老师的二维码具体咨询如何加入SCI论文辅导项目。微信:wzp1670423539
本期编辑

你的分享、点赞、在看
我都喜欢



授人以鱼不如授人以渔
学无止境,终身学习!
