
点击蓝字关注JAD 加入JAD读者群
JAD人物专访
榜样的力量
1
2
3
编辑精选:走进科研人的心路历程

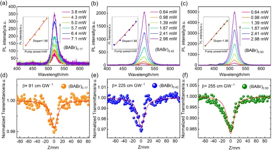
由于兼具优异的光吸收系数、可调的带隙及高效的载流子传输性能,钙钛矿在发光、非线性光学和光电探测等领域受到广泛关注。然而,传统三维钙钛矿虽然载流子输运能力突出,却普遍面临离子迁移严重、湿热稳定性不足等问题。而低维有机间隔层的引入虽能提升材料稳定性,却又可能削弱电荷传输效率。针对这一问题,深圳大学贺廷超教授团队在Applied Physics Letters发表题为 “Regulation of optical properties in quasi-2D perovskite heterostructures and their application in photodetection” 的研究提供了新思路。该工作以有机阳离子工程为核心,通过调控丁基溴化铵(BABr)与CsPbBr3的比例,构筑了一系列准二维钙钛矿异质结构薄膜。研究结果表明,随着BABr含量提升,薄膜中低维相与三维相协同形成更加明显的梯度能级分布,不仅有效钝化了晶界和表面缺陷,显著提高了荧光量子产率与寿命,还增强了低维相向三维相的能量转移效率和电子-声子耦合强度,并实现双光子吸收性能的持提升。
与此同时,基于该类异质结构构筑的光电探测器展现出更快的响应速度和更优的运行稳定性。该研究为理解准二维钙钛矿“组分结构-光学性质-器件性能”之间的耦合规律提供了重要依据,也为优化非线性光学性能和推进高性能光电探测器的设计提供了重要参考。
团队首先制备出不同组分比例的准二维钙钛矿薄膜,并通过结构与光谱表征确认了材料从3D向Q-2D的演化过程(图1)。随着BABr含量增加,薄膜中低维相逐渐增多,吸收与发光特性发生明显变化,同时缺陷态得到有效抑制,材料发光效率和寿命均得到提升。

图1 准二维钙钛矿结构与荧光测试
在此基础上,团队进一步利用超快光谱研究了不同相之间的能量转移过程。结果表明,准二维结构内部形成了更明显的梯度能级分布,使激发能量能够从宽带隙低维相向窄带隙相高效汇聚,表现出典型的“能量漏斗”效应(图2)。这种相间协同作用优化了载流子弛豫路径,提高了低维相至3D相的能量转移效率。

图2 瞬态吸收测试
随后,研究人员结合变温光致发光测试发现,随着BABr含量提高,体系电子—声子耦合进一步增强(图3)。这一变化说明有机阳离子工程不仅调控了相结构分布,还影响了激子与晶格之间的相互作用强度。受益于能量漏斗效应和电子—声子耦合增强,材料的双光子吸收能力得到明显提升,开孔Z-scan测试结果也证实了这一点(图4)。

图3 变温荧光测试

图4 双光子荧光与Z-scan测试
最后,团队将该类准二维异质结构应用于光电探测器中。结果表明,器件在保持稳定光响应的同时,展现出更快的响应速度和更好的工作稳定性(图5和图6),这是由于有机层引入后,一方面抑制了离子迁移并增强了抗湿性,另一方面通过梯度能级分布改善了载流子的分离与传输。

图5 器件结构及其I-T与I-V测试

图6 器件稳定性测试
团队介绍
贺廷超,深圳大学物理与光电工程学院教授、博士生导师。博士毕业于上海交通大学物理系,曾在日本分子科学研究所和新加坡南洋理工大学从事科研工作。贺廷超教授团队聚焦新型半导体材料中的超快动力学、手性光学及非线性光学性质,并致力于推动高性能光电器件的发展。贺廷超教授以通讯作者或第一作者身份在Sci. Adv.、Nature Commun.、Adv. Mater.、Nano Lett.、ACS Nano、Angew. Chem.、 Laser Photon. Rev.、Appl. Phys. Lett.等期刊发表学术论文100余篇。
文章信息
Regulation of optical properties in quasi-2D perovskite heterostructures and their application in photodetection
Sheng Lin; Junzi Li; Xin Qiu; Luyang Wang; Tingchao He
Appl. Phys. Lett. 127, 192101 (2025)
https://doi.org/10.1063/5.0301069

扫描二维码 查看原文

「Copyright © 2026 JAD编辑部」
内容来源 / 网络
网络编辑 / 杨柳
责任编辑 / 李明
终 审 / 魏晓勇
END


Journal of Advanced Dielectrics
《先进电介质学报(英文)》





期刊简介

JAD是由姚熹院士、叶作光院士担任主编的英文学术期刊,2011年创刊,由西安交通大学国际电介质研究中心(ICDR)和新加坡世界科技出版集团(WSPC)共同创办。它以电介质研究为特色,涵盖电介质基础研究、压电、铁电、薄/厚膜、多铁性材料、工程电介质等研究领域,旨在为国际上从事电介质学术研究的学者提供一个集中展示交流最新研究成果的平台,促进学术界对电介质理论及应用研究不断深入。目前JAD为双月刊,被ESCI、EI、Scopus、DOAJ、CA、CrossRef、Google Scholar、CSCD、CNKI、WanFang Data等多种检索数据库收录。
往期推荐
1.Sm掺杂Bi6Ti3FeAlO18薄膜弱耦合弛豫设计与晶粒细化协同调控的优异储能性能
1.通过“磁电复合”缺陷偶极子调控实现Fe掺杂Pb(Zr₀.₅₂Ti₀.₄₈)O₃电极化与磁化的协同增强
3.0.7Bi(1-x)NdxFeO3-0.3BaTiO3铁电陶瓷的阻抗谱和电导率
5.基于现代极化理论的先进第一性原理分析有效地探索电子和介电性质:在PbTiO3上的应用
6.制备方法对Y2O3MgO复合陶瓷微观结构和光学性能的影响
9.合成具有增强压电催化性能的BiFeO3/ZnO异质结,用于有机污染物的高效降解
10.A/B位点共掺杂对CaTiSiO5陶瓷结构、电和介电性能的影响
Volume 15 NO.1, 2025
1.烧结诱导的0.93(Na0.5Bi0.5)TiO3-0.07BaTiO3陶瓷中的多铁性
2.Na0.5Bi0.5TiO3 纳米粒子在染料降解和过氧化氢生成中的高效压电催化特性
4.通过氮诱导的浅层俘获能级调节TiO2空心纳米球的光催化氢气生成
5.(Al3+/Ta5+)共掺对CdCu3Ti4O12陶瓷介电性能的影响
6.Pt/Pb(Zr,Ti)O3/Nb:SrTiO3铁电隧道结中的取向依赖性隧穿电阻
7.BaTiO3-Bi(Zn1/2Zr1/2)O3的介电弛豫
8.冷烧结法制备K0.45Na0.45Li0.1NbO3无铅陶瓷的微观结构、介电、铁电和压电性能
9.通过化学计量学、点缺陷和掺杂处理提高BaTiO3陶瓷的居里点
Volume 14 NO.6, 2024
2.是否有可能谈论奥里维利乌斯-斯摩棱斯基(Aurivillius-Smolensky)相系列层状透辉石类化合物介电性能的二维性质?
3.优化沉积工艺制备活性超表面VO2/TiO2/c-Al2O3薄膜
5.用于介质谐振器天线的LiZnSbO4陶瓷的结构和微波介电性能
6.高压合成多铁BiFeO3-AFe1/2Sb1/2O3(A- Pb,Sr)固溶体的化学有序和磁性相变
7.陶瓷样品(1 - x)BaTiO3·xPbFe2/3W1/3O3(0≤x≤1)体系的合成、x射线衍射及介电性能研究
10.Sn4+取代Si4+对Mg2Al4Si5-xSnxO18陶瓷微波介电性能的影响
Volume 14 NO.5, 2024
6.CuO:V2O5驱动锆钛酸钡陶瓷介电、铁电和结构性能的改变
7.双氮硫掺杂诱导石墨烯纳米复合材料的微波吸收和电磁干扰屏蔽
8.毫米波和太赫兹频率下低温烧结MgO基陶瓷的微观结构和介电性能
Volume 14 NO.4, 2024
1.在 Co(II)体系中提高介电性能的一系列甲酸MOFs/Polylactic Acid 混合复合材料
2.Yb2O3掺杂提高低温烧结Pb(Zr,Ti)O3基陶瓷的压电性能
3.BNT基铁电陶瓷在保持高极化和击穿强度的基础上具有优异的储能性能
5. (Nb0.5La0.5)4+复合离子改性(Ba0.85Ca0.15)(Zr0.10Ti0.90)O3陶瓷的高能量存储特性
7.通过构建内部偏置电场制备了Bi(Fe0.93Mn0.05Ti0.02)O3薄膜
8.通过Sr掺杂提高Pb0.99Gd0.01Zr0.53Ti0.47O3铁电陶瓷的介电和压电性能
10.ZnIn2S4/Bi2WO6 Z-Scheme异质结构优化光催化降解他汀类药物
Volume 14 NO.3, 2024
3.界面缓冲层对Pb(Zr,Ti)O3薄膜异质结构压印和畴切换动力学的影响
4.具有大电致应变和强光致发光性能的多功能BNT基铁电陶瓷研究
7.通过KNN掺杂改性的BNT-BST陶瓷中优化的热稳定介电性能增强了储能性能
Volume 14 NO.2, 2024
3.用Landau-Devonshire理论设计BaTiO3-BbZrO3-BbTiO3相边界的高压电性能
4.利用聚焦离子在PMN-PT单晶中写入图案化电极畴结构研究
5.利用超薄二维HfO2@TiO2纳米片制备纳米复合材料并提高其储能能力
8.基于麦克斯韦关系的钛酸钡基陶瓷的频率依赖型铁电性和电致热性能
Volume 14 NO.1, 2024
2.基于介电击穿相场模型对铁电陶瓷在非晶、纳米晶和多晶相变过程中的储能性能研究
4.基于La3Ga5SiO14晶体的高温压电声发射传感器制备及其声学性能
5.(1-x)Na0.5Bi0.5TiO3-xNa0.5K0.5NbO3陶瓷的结构与介电性能

扫码关注
电介质学术交流(JAD)
获取更多精彩资讯
