



本文特邀:
作者:姚启恒
单位:香港大学、香港大学深圳医院
2025年,香港大学、香港大学深圳医院姚启恒教授团队在《European Heart Journal》《Nature Communications》《JAMA Network Open》等国际顶级期刊发表十余项重要临床研究成果,覆盖SGLT2抑制剂心肾保护、心衰代谢管理、卒中后综合征、先天性瓣膜病、冠心病等多个前沿领域,为心血管与代谢疾病的精准防治提供了高质量的亚洲人群证据与临床实践指引。

一、停用SGLT2抑制剂对2型糖尿病患者尿路感染复发及心肾预后的影响
(2025年发表于欧洲心脏病杂志《European Heart Journal》,IF=35.6)(第一作者:吴妹珍,通讯作者:姚启恒)
SGLT2抑制剂是2型糖尿病合并心血管疾病或慢性肾脏病患者的一线治疗药物,但其通过促进尿糖排泄降糖可能增加尿路感染(UTI)风险。部分医生和患者因此对持续用药产生顾虑,进而影响治疗依从性,甚至导致提前停药。现有证据表明,UTI不仅与肾功能恶化及心血管不良事件风险升高相关,也是导致SGLT2抑制剂停药的关键因素。然而,在服用SGLT2抑制剂的2型糖尿病患者中,UTI本身以及因此停药对心肾结局的影响,目前尚不清楚。

本研究纳入了2015-2022年间诊断为2型糖尿病并使用SGLT2抑制剂的患者,首先根据患者是否发生UTI将其分为UTI组和非UTI组,并采用逆概率加权法(IPTW)平衡混杂因素;然后在发生UTI的患者中,根据是否停用SGLT2抑制剂将其分为停药组和继续用药组,并运用目标试验模拟(TTE)方法控制偏倚。研究采用Cox比例风险回归模型,分别比较两组患者的心血管、肾脏结局发生率及UTI复发率,并通过敏感性分析与亚组分析对结果的稳健性进行了验证。本研究共计纳入了61606名服用SGLT2抑制剂的2型糖尿病患者,在随访期间,57685名患者未发生UTI,3921名患者发生了UTI,其中2356UTI患者继续使用SGLT2抑制剂,1267人停药。结果显示,UTI与主要心血管复合终点及主要肾脏复合终点风险显著增加相关,然而发生UTI后停用SGLT2抑制剂与UTI复发无显著关联,却与心肾不良事件风险增加相关。亚组分析与敏感性分析进一步支持了上述结果具有较高的可靠性。
二、甘油三酯水平与心力衰竭患者全因死亡率和心血管结局的关联
(2025年发表于《NATURE COMMUNICATIONS》杂志上, IF=14.7)(第一作者:任庆文,通讯作者:姚启恒)
残余胆固醇,即由富含甘油三酯的脂蛋白所携带的胆固醇,是缺血性心脏病的一项重要致病风险因素。然而,甘油三酯水平与心力衰竭(HF)患者全因死亡及特定病因结局之间的关联尚不明确。


本研究纳入了2000年至2020年间所有符合条件的确诊心力衰竭患者(N = 127124)。在这个基于人群的队列中,平均年龄71.4±12.2岁,51.8%为男性,甘油三酯水平与全因死亡风险和心血管疾病风险之间呈U型曲线关系:高甘油三酯水平(≥3.0 mmol/L)与动脉粥样硬化性心血管疾病住院或死亡风险升高相关;相反,低甘油三酯水平(<1.2 mmol/L)则与心力衰竭再住院或死亡风险升高相关。经校正的全因死亡风险在甘油三酯水平处于1.2至3.0 mmol/L区间时达到最低点。此研究结果在BIOSTAT-CHF队列中得到了外部验证。我们的发现对于明确甘油三酯水平在导致心力衰竭患者不同临床结局中的作用具有重要意义。
三、缺血性卒中-心脏综合征与认知障碍的風險
(2025年发表于《Alzheimer's & Dementia》,IF=11.1)(第一作者:Christopher T W Tsang,通讯作者:姚启恒)
卒中患者存活率虽提升,但卒中后并发症仍是康复负担。缺血性卒中-心脏综合征(SHS)指卒中后一个月内继发的心血管并发症,如心肌损伤、心律失常等,其患者复发卒中、出现心脏并发症及死亡风险更高,需密切监测干预。此外,卒中后脑损伤与炎症易导致认知障碍,严重影响患者生活能力。缺血性卒中和心血管疾病均可独立增加认知障碍风险,但二者与SHS对认知障碍的累积影响,尤其在亚洲人群中,尚未充分研究。
针对以上问题,研究团队开展了一项回顾性队列研究,纳入 130,605 例新确诊缺血性卒中患者,其中12,696 名(9.7%)患者出现SHS。在卒中后一年,SHS患者与没有SHS的患者相比认知障碍风险增加了 19%,并主要由血管性失智症引起。随着随访时间的延

四、四叶瓣与二叶瓣主动脉瓣患者的临床结局比较
(2025年发表于《JAMA Network Open》,IF=9.7)(第一作者:张靖男,通讯作者:姚启恒)
主动脉瓣的先天性畸形主要包括二叶瓣(BAV)和更为罕见的四叶瓣(QAV)畸形。BAV是最常见的先天性心脏病之一,发病率约为0.8%-1%,而QAV的发病率估计不足0.01%。由于QAV的罕见性,其临床特点和管理策略多借鉴BAV的经验。
本研究共纳入139例QAV患者和695例BAV患者,两组在年龄和性别上进行了严格匹配。基线数据显示,QAV患者主要表现为主动脉反流(71.2%),而BAV患者的病变类型更为多样,包括主动脉狭窄(37.6%)、反流(19.1%)和混合病变(8.1%)。值得注意的是,QAV患者的左室射血分数较低(56.7% vs 59.4%),左室舒张末期内径较大(5.8cm vs 4.7cm),提示可能存在潜在的心肌功能障碍。
在随访期间(中位4.8年),BAV患者表现出更严重的主动脉病变,主动脉手术率显著高于QAV组(33.8% vs 5.1%)。感染性心内膜炎仅见于BAV组(9.6%)。然而,QAV患者的心力衰竭住院风险显著增高(37.0% vs 23.5%),多因素分析显示QAV形态是心衰住院的独立危险因素(调整后风险比2.52)。令人欣慰的是,两组患者的5年相对生存率与一般人群相当(QAV 102.9% vs BAV 102.4%)。这表明在现代医疗管理下,这两种先天性主动脉瓣疾病患者的预后得到了显著改善。但研究者指出,QAV患者较高的心衰风险可能在更长期随访中影响生存率。
这项研究首次通过大样本数据系统比较了QAV和BAV的临床特征和预后差异,为临床决策提供了重要依据。研究强调了对先天性主动脉瓣疾病患者进行个体化评估和管理的重要性,定期随访和适时干预是改善预后的关键。

五、钠-葡萄糖协同转运蛋白2(SGLT2)抑制剂显著降低合并冠脉缺血的2型糖尿病患者主要不良心血管事件(MACE)和全因死亡的风险
(2025年发表于《Diabetes and Metabolism Journal》,IF=8.5)(第一作者:宣皓晨,通讯作者:姚启恒)
2型糖尿病患者常合并复杂、弥漫的冠脉病变,即使在接受介入治疗后,仍有相当比例患者因病变复杂无法实现完全性血管重建(CR),残留心肌缺血,长期心血管风险居高不下。如何有效管理这部分高危人群,是临床面临的重大挑战。
本研究纳入671例经冠脉造影和基于冠脉造影的血流储备分数(caFFR)评估证实存在冠脉缺血的2型糖尿病患者。研究首次将血管重建的“完全性”纳入分析框架,系统评估了SGLT2抑制剂在不同血管重建状态患者中的疗效。结果显示,在中位随访36个月期间,使用SGLT2抑制剂的患者3年MACE发生率为8.3%,显著低于未使用者的17.8%;全因死亡率亦显著降低(6.3% vs. 16.3%)。进一步分析发现,SGLT2抑制剂带来的心脑血管获益在完全性血管重建(CR)和不完全性血管重建(ICR)两组患者中高度一致,风险降低幅度相近。
该研究具有明确的临床指导意义:对于合并冠脉缺血的2型糖尿病患者,无论介入治疗后血管重建状态如何,均应积极考虑将SGLT2抑制剂纳入标准治疗方案,以最大程度降低残余心血管风险,改善长期预后。

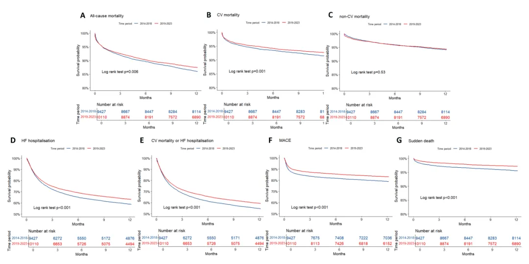
六、年轻心力衰竭患者的发病率、临床特征及结局的时间趋势
(2025年发表于《The Lancet Regional Health-Western Pacific》, IF=8.1)(第一作者:顾文丽,通讯作者:姚启恒)
心力衰竭传统上多发于老年人群,但其在年轻群体中的发病负担正日益加重。全球研究显示,年轻患者比例上升,可能与心脏代谢危险因素早期暴露及不健康生活方式相关。目前,针对年轻患者发病趋势、危险因素及新药应用后临床结局的综合分析仍较为缺乏。
本研究基于香港全域性临床数据库(CDARS),纳入2014至2023年间新发HF的年轻成人(<65岁)共19,537例(中位年龄57.1岁,男性占69%),系统分析了近十年来该人群HF的发病率变化、合并症及危险因素谱、超声心动图特点、药物治疗情况及临床结局。结果显示,2014-2023年间,香港年轻HF患者的标准化发病率上升了20%。与2014-2018年相比,2019-2023年新发HF患者合并症负担有所下降,但肥胖、心肌病、低社会经济地位及45-65岁年龄段比例显著增加,危险因素谱发生明显转变。同期,射血分数降低型HF(HFrEF)亚型比例升高,指南推荐的药物治疗(GDMT)使用率提升。尽管治疗水平改善,患者一年全因死亡率仅由每百人年15.6例小幅下降至14.6例,降幅有限。
研究提示,香港年轻成人HF发病率显著上升,危险因素和临床特征发生了深刻转变,且短期死亡率改善有限。针对这一趋势,亟需制定和落实更具前瞻性的公共卫生策略,加强危险因素早期干预与管理,优化年轻HF患者的诊疗与预后。


七、地高辛 vs β受体阻滞剂在房颤合并心衰患者中的影响
(2025年发表于《BMC Medicine》,IF=8.3)(第一作者:刘林,通讯作者:姚启恒)
房颤(AF)与心力衰竭(HF)是常见且负担沉重的心血管疾病,二者常因共享危险因素而共存,并可相互促进发生与进展。对AF或HF患者而言,心率控制是治疗关键环节。既往证据显示:β受体阻滞剂可显著改善窦性心律心衰患者的生存并减少住院,但在持续性房颤合并心衰人群中的获益并不明确。地高辛的有效性与安全性长期存在争议,而在该人群中地高辛与β受体阻滞剂的直接比较研究较少,因此有必要开展更贴近真实世界的对比评估。
本研究采用目标试验模拟(target trial emulation)方法,利用香港临床数据分析与报告系统中2005 - 2018年期间28,377名同时诊断AF与HF的患者数据。经“克隆-删失-加权(clone-censor-weight)”处理后,形成两组可比治疗策略:地高辛组:5,351人。β受体阻滞剂组:7,655人。
研究结果:与β受体阻滞剂相比,地高辛与更高风险相关:全因死亡:RR 1.21(1.17–1.26)心血管死亡: RR 1.20(1.11–1.29)。心衰住院: RR 1.10(1.04–1.16)上述结果在各亚组分析中保持一致。该研究提示在房颤合并心衰患者中,相较于β受体阻滞剂,地高辛与显著更高的全因死亡、心血管死亡及心衰住院风险相关,该结论仍需RCT研究进一步证实。

(图片:地高辛和β受体阻滞剂治疗合并房颤和心力衰竭患者的不良结局风险比较)

(图片:地高辛与β受体阻滞剂3年不良结局风险在亚组中的比较)
八、非苯二氮卓类镇静催眠药使用与心力衰竭患者再住院及死亡风险的关联性研究
(2025年发表于《European Journal of Preventive Cardiology 》,IF=8.6)(第一作者:杨海玥,通讯作者:姚启恒)
非苯二氮卓类 γ-氨基丁酸受体激动剂(Z-drugs)是临床治疗失眠最常用、指南推荐的药物之一,但近年来多项观察性研究提示,其使用可能与心力衰竭、卒中、心肌梗死及全因死亡风险升高相关。然而,既往研究多受样本量小、随访时间短及统计方法局限影响,针对既往已确诊 HF 患者的证据尤为缺乏。
本研究共纳入2001年-2020年间 202,585 例首次因 HF 住院的成年患者(平均年龄 73.2 岁,男性占 47.8%),系统评估 Z-drugs 使用与 HF 再住院、心血管死亡及全因死亡风险之间的关系。通过倾向评分匹配平衡基线差异,并采用竞争风险模型进行分析。在中位 10.5 年随访期间,Z-drugs 使用与主要复合终点风险增加 21%、全因死亡风险增加 15% 显著相关,且呈现明确的使用时长-反应关系,长期使用者风险最高。上述结果提示,在 HF 患者中应谨慎权衡 Z-drugs 的潜在获益与心血管风险,其长期安全性及替代治疗策略仍有待进一步随机对照研究验证。


九、SGLT2抑制剂对2型糖尿病患者的HbA1c变异性及心肾不良结局的影响
(2025年发表于《Diabetes,Obesity & Metabolism》,IF=5.7)(第一作者:郭然,通讯作者:姚启恒)
长期HbA1c变异性与2型糖尿病患者心血管及肾脏并发症风险增加以及死亡率升高密切相关。尽管临床已认识到需对高HbA1c变异性的2型糖尿病患者加强医疗管理,但目前仍缺乏针对该人群最佳血糖控制策略的循证依据。
本研究纳入2015至2022年间启动SGLT2抑制剂或DPP-4抑制剂治疗,且HbA1c变异性评分(HVS)>60%的2型糖尿病患者共20205例。研究采用倾向性评分匹配调整混杂因素。主要结局为治疗后3年的HVS,次要结局包括主要不良心血管事件(MACE)和严重肾脏事件(SRE)。
结果显示,以HVS五分位0-20%组为参照,SGLT2抑制剂组相较于DPP-4抑制剂组患者处于更高HVS五分位组的可能性显著降低。与DPP-4抑制剂相比,SGLT2抑制剂可降低MACE与SRE的发生风险。综上,SGLT2抑制剂在降低HbA1c变异性方面优于DPP-4抑制剂。对于高HbA1c变异性的T2DM患者,SGLT2抑制剂的心血管和肾脏保护作用尤为显著。

表1. 启动SGLT2抑制剂或DPP-4抑制剂三年后的HVS比较。

表2. SGLT2抑制剂或DPP-4抑制剂使用者的心脏和肾脏结局对比。
十、3V-caFFR评估非阻塞型冠心病(NOCAD)患者预后的研究
(2025年发表于《Journal of the American Heart Association》,IF=5.3)(第一作者:Yik-Ming Hung,通讯作者:姚启恒)
非阻塞型冠心病(NOCAD)在因心绞痛行冠脉造影患者中占比超40%,既往被认为预后良好,但近年研究提示其心血管风险显著升高。当前指南缺乏针对NOCAD的功能学危险分层方法。本研究旨在探讨基于计算机流体力学计算的冠脉血流储备分数(caFFR)对5年主要不良心血管事件(MACE)的预测价值,并建立可直接临床应用的危险分层切点。
本研究纳入了2014年至2017年间症状典型、冠脉造影狭窄≤50%且三支主要血管caFFR均>0.8的患者。主要终点为5年MACE(包括心源性死亡、非致死性心肌梗死及缺血驱动的血运重建)。
结果显示,三支血管caFFR之和(3V-caFFR)较低(≤2.78)的患者,其MACE发生率显著高于高值组(9.49% vs 3.60%),风险比(HR)为2.55。此外,具有2-3支血管caFFR≤0.93(定义为“低caFFR”)的患者,其MACE风险是仅有0-1支低caFFR患者的2.77倍。风险主要由缺血驱动的血运重建事件驱动。单支血管的caFFR值高低与MACE无独立关联。低3V-caFFR也与更高的全因死亡风险相关。
本研究证实,在冠脉狭窄≤50%的NOCAD患者中,3V-caFFR≤2.78及多支血管存在低caFFR(≤0.93)是5年MACE的独立预测因子。该方法可在常规造影后即时获得,为NOCAD提供了一种简便、可重复的功能学危险分层工具。

SGLT2抑制剂心肾保护,心衰代谢管理,卒中后综合征,先天性瓣膜病,冠心病


年度盘点 学术特辑 扫码查看更多内容
声明:本文为学术进展综述,旨在传播医学信息,不构成任何具体的诊疗建议。如有疾病诊疗需求,请前往正规医疗机构就诊。


香港大学、香港大学深圳医院
香港大学,香港大学李嘉诚医学院助理院长、香港大学临床教授,香港大学心脏血管研究所所长,香港玛丽医院内科部、香港葛量洪医院、香港养和医院内科部荣誉顾问医生。
临床:在冠心病介入、心脏瓣膜病、心肌病的诊断和治疗方面有丰富的经验;擅长冠脉介入、起搏器、心脏3D彩超、斑点追踪等技术。亚洲首批在德国开展TAVI技术的医生之一。
科研:擅长临床大数据、人工智能、心血管病(冠心病、心衰、心脏瓣膜病)、心脏成像新技术、糖尿病等相关领域研究;曾获中华医学科技奖、四川省科技进步奖、广东省杰出青年医学人才、2022OCC 东方新星奖(全国仅2名)及其他国内外多项奖项。
在Circulation (IF 39)、European Heart Journal (IF 35)、Journal of The American college of Cardiology(IF27)、Diabetes care(IF 17)等国际杂志已发表SCI论文280余篇。
Regional Editor in Journal of the American College of Cardiology(IF24.4)、Associate editor in European Journal of Preventive Cardiology(IF8.3)、Frontier in Cardiovascular medicine(IF3.6)、Editor in Ultrasonography(IF3.1)、International Journal of Cardiovascular Imaging(IF2.1)、Cardiovascular Ultrasound等。



长按识别二维码,
即可进入沟通交流群




高血压|心脏重症|心力衰竭|冠心病|瓣膜|心律失常|周围血管|心电生理
点击合集名称,查看更多内容👆👆👆


点击“阅读原文”,开启学习之旅!