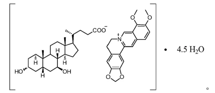
小檗碱熊去氧胆酸胶囊(BUDCA - HighTide Biopharma;HTD-1801)由深圳君圣泰生物研发,活性成分为小檗碱熊去氧胆酸离子盐4.5水合物。

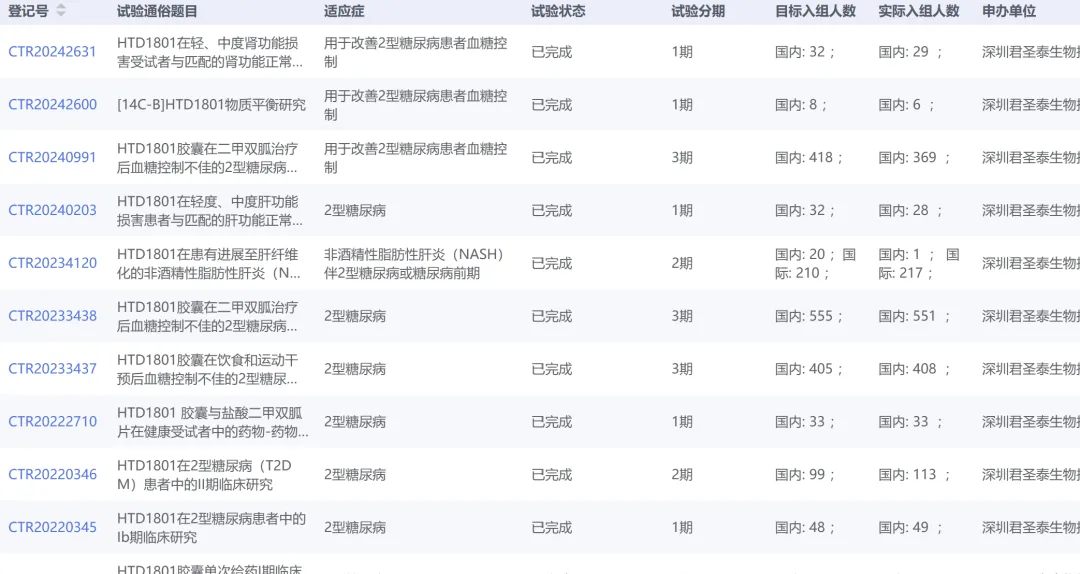
目前在国内的研究进展如下:
HTD1801 是一款首创的新分子实体,旨在解决心血管-肾脏-代谢 (CKM) 疾病的潜在风险。它是一种口服的抗炎代谢调节剂 (AIMM),作为一个单一分子,可通过激活 AMP 激酶和抑制 NLRP3 炎症小体发挥独特的双重作用机制,这两个互补通路可减轻代谢功能障碍。多项全球临床研究已证实 HTD1801 的全面益处,包括改善胰岛素敏感性、血糖控制、降低血脂、肾脏保护、减轻体重、改善肝脏功能和抗炎作用。总而言之,这些研究结果支持 HTD1801 作为 CKM 疾病管理基础疗法的潜力。

该产品已被美国 FDA 授予 2 项快速通道资格认定。HTD1801一药多效、区别于其他糖尿病治疗药物的差异化竞争优势较为明显,也与行业正向多功能药物创新治疗方式发展的趋势高度契合。现有应对心肾代谢系统疾病(CKM)的综合治疗方案相对较少、该领域仍存在大量未满足的临床需求,该公司的本品种具有成为 CKM 基石疗法的潜力,未来用于综合临床治疗的市场空间广阔。
2025-11-07 ,深圳君圣泰生物在美国休斯顿举行的第 58 届美国肾脏病学会 (ASN)年会上公布了 HTD1801对轻度肾功能损害患者的肾脏获益证据:
汇总了两项针对2型糖尿病(T2DM)患者的HTD1801随机、双盲、安慰剂对照III期临床研究(SYMPHONY 1和2;N=956)的数据进并行分析。对汇总数据进行事后亚组分析,采用eGFR轨迹评估HTD1801对肾功能的影响。轻度肾功能损害定义为基线eGFR为60-90 ml/min/1.73m²,高滤过定义为基线eGFR≥120 ml/min/ 1.73m²。
在轻度肾功能不全患者中,与安慰剂相比,HTD1801治疗可显著改善eGFR,并使eGFR随时间呈正增长趋势。在高滤过患者中,与安慰剂相比,HTD1801可降低eGFR,这与肾功能恢复正常相符。HTD1801治疗对血压、血清钠或钾水平无临床意义上的影响。
2025-12-02,深圳君圣泰生物公布了HTD1801的III 期 HARMONY 试验的积极顶线结果:
HARMONY (NCT06415773) 是一项随机、双盲、阳性对照的 III 期临床试验,旨在评估HTD1801 与达格列净在二甲双胍控制不佳的 2 型糖尿病成人患者(N=369)中的疗效和安全性。主要终点评估了 HTD1801 治疗至第 24 周时 HbA1c 的变化,并与达格列净进行比较,非劣效性界值为 0.4%。次要终点包括多种心血管代谢指标。
•该III 期头对头试验达到了其主要终点:HTD1801 在第 24 周时 HbA1c 的最小二乘均值降低了 1.12%,而达格列净降低了 0.93%(最小二乘均值差为 0.20%;95% CI -0.37 至 -0.03;P < 0.001)。
• HTD1801 达到了预设的次要终点,与达格列净相比,在降低 LDL-C 和非 HDL-C 水平方面表现出更优的改善,且他汀类药物强化治疗率更低。HTD1801 在其他心血管代谢指标方面也表现出更优的改善,包括 HbA1c < 7.0% 的患者比例更高,Lp(a) 水平降低幅度更大。
• HTD1801 的安全性和耐受性良好,严重不良事件的发生率为 3.8%,而达格列净组为 4.4%;最常见的不良反应为轻度至中度胃肠道事件,HTD1801 组未发生严重低血糖。
总体而言,这些结果表明,HTD1801 可能比 SGLT2 抑制剂具有更广泛的临床获益,因为它能够靶向 2 型糖尿病的潜在代谢和炎症驱动因素。
HARMONY 研究是继 SYMPHONY-1 和 SYMPHONY-2 之后,HTD1801 连续第三项成功的 III 期临床试验,凸显了其作为心血管-肾脏-代谢 (CKM) 疾病基础疗法的巨大潜力。
HighTide Therapeutics 计划于今年晚些时候提交 HTD1801 的新药申请 (NDA)。
诸多研究数据表明,HTD1801 不论作为单药治疗方案还是与任何现有疗法联用,都可为 T2DM 患者带来进一步综合获益,具有差异化竞争优势。
东北林业大学在2011年申请了小檗碱与胆酸类衍生物的缀合物相关专利,用于抗肿瘤,可惜没有进一步研究在其他方面的用途:
深圳君圣泰生物申请的相关专利:
发明类型 | 申请号 | 申请日期 | 发明名称 | 申请人 | 法律状态 |
治疗原发性硬化性胆管炎的方法 | CN2022074670W WO2022161468A1 | 2022-01-28 | 小檗碱熊去氧胆酸盐的组合物及其治疗原发性硬化性胆管炎的方法 | SHENZHEN HIGHTIDE BIOPHARMACEUTICAL LTD | 国际专利申请公开 |
用途(治疗脂肪性肝病合并糖尿病和高脂血症合并糖尿病)、晶型A | CN202180072375.7 CN116782898A | 2021.10.22 | 小檗碱熊去氧胆酸盐的组合物及其治疗脂肪肝、糖尿病和高脂血症的方法 | 深圳君圣泰生物技术有限公司 | 逾期视撤,等恢复 |
晶型A | CN201710335467.5 CN108864077B | 2017.05.12 | 小檗碱有机酸盐的固体形式及其制备方法 | 深圳君圣泰生物技术有限公司 | 有权 |
治疗方法 | CN2024079562W | 2024-03-01 | 治疗严重高甘油三酯血症的组合物和方法 | SHENZHEN HIGHTIDE BIOPHARMACEUTICAL LTD | 国际专利申请公开 |
组合物,化合物(小檗碱与其他胆酸类化合物) | CN202311603442.0 CN117618444A | 2023.11.27 | 一种药物组合物、酸碱加成盐或偶联物及其应用 | 深圳君圣泰生物技术有限公司 | 等待实审请求 |
组合物(小檗碱+二十碳五烯酸等) | CN201610303976.5 CN106692973A | 2016.05.10 | 一种组合物及其用途、药物制剂 | 深圳君圣泰生物技术有限公司 | 驳回失效 |
组合物(小檗碱+二十碳五烯酸等) | CN202310452983.1 CN116492339A | 2016.05.10 | 一种组合物及其用途、药物制剂 | 深圳君圣泰生物技术有限公司 | 驳回等复审请求 |
复方组合物 | CN202311857420.7 CN118267476A | 2023.12.29 | 一种药物组合、药物组合物及其应用 | 深圳君圣泰生物技术有限公司 | 等待实审提案 |
治疗结直肠癌或相关疾病或病症的方法 | CN2024139706W | 2024-12-16 | 治疗癌症的组合物和方法 | SHENZHEN HIGHTIDE BIOPHARMACEUTICAL LTD | 国际专利申请公开 |
组合物、化合物 | CN201580041177.9 CN106687460B | 2015.07.28 | 小檗碱盐、熊去氧胆酸盐、相关复方及其制备方法和应用 | 深圳君圣泰生物技术有限公司 | 有权 |
组合物、化合物 | CN201910386683.1 CN110179792A | 2015.07.28 | 小檗碱盐、熊去氧胆酸盐、相关复方及其制备方法和应用 | 深圳君圣泰生物技术有限公司 | 驳回失效 |
复方组合物 | CN202410550520.3 CN118892549A | 2024.05.06 | 一种药物组合、药物组合物及其应用 | 深圳君圣泰生物技术有限公司 | 等待实审提案 |
调节肠道微生物组组成的方法 | CN2022133198W | 2022-11-21 | 小檗碱熊去氧胆酸盐调节肠道微生物群组成的组成和方法 | SHENZHEN HIGHTIDE BIOPHARMACEUTICAL LTD | 国际专利申请公开 |
化合物(小檗碱与去甲熊去氧胆酸) | US202318134495A | 2023-04-13 | 小檗碱盐、熊去氧胆酸盐及其组合物、制备方法和应用 | SHENZHEN HIGHTIDE BIOPHARMACEUTICAL LTD | / |
小檗碱+Ω脂肪酸或其酯 | CN201880065547.6 CN111295203B | 2018.08.08 | 用于治疗炎症性肠病的方法和组合物 | 深圳君圣泰生物技术有限公司 | 有权 |
组合物(小檗碱+活性有机酸……) | US202418630270A | 2024-04-09 | 小檗碱盐、熊去氧胆酸盐及其组合物、制备方法和应用 | SHENZHEN HIGHTIDE BIOPHARMACEUTICAL LTD | / |
化合物(小檗碱-氨基酸-熊去氧胆酸及其衍生物) | CN201680032575.9 CN108137575A | 2016.04.05 | 熊去氧胆酸与小檗碱或左旋肉碱的共轭化合物和其组合物及其方法 | 深圳君圣泰生物技术有限公司 | 驳回失效 |
化合物(小檗碱与牛磺熊去氧胆酸反应产物) | CN202480010957.6 CN120659782A | 2024.02.08 | 小檗碱牛磺熊去氧胆酸盐组合物及其方法 | 深圳君圣泰生物技术有限公司 | 等待实审提案 |