探访侧记:梁清藩墓位于白云山五雷岭,仅存墓碑,刻“皇清例授登仕郎顯考清藩梁公府君墓”,上款“道光九年己丑孟秋穀旦扵番禺土名五雷領坐午向子兼丙壬三方之原”,下款“辛酉科舉人年家眷晚生林伯桐拜書”、“祀男(梁)浩文(梁)沛文(梁)滿文(梁)潤文(梁)秉衡孫(梁)序璇(梁)序琬(梁)序珏(梁)序璞(梁)開柱(梁)序琼(梁)序琰(梁)序瑜立石”。
此墓碑虽已垂直掉进了墓坑里,但远远看上去笔者便觉得有点异样。墓碑刻字不像是打石行的行货,更像是书法体。待跳下墓坑细看后,才发现墓碑竟是清代著名学者、学海堂学长、月亭学派创始人——林伯桐所书。










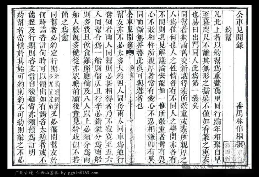
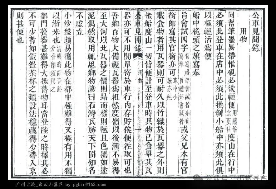
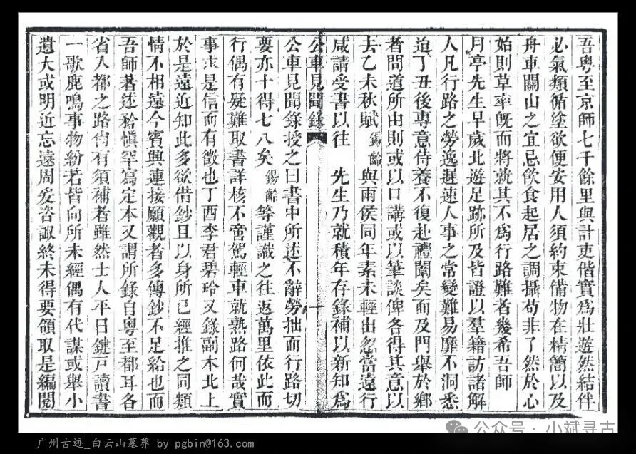
林伯桐字桐君,一字月亭,番禺人,世居省城高第街,父亲是林天植。嘉庆六年,林伯桐以番禺贡生中举,之后屡次参加会试均不中。他把自身赴京赶考的经历写成一部奇书——《公车见闻录》,详细介绍了进京五条路径的优劣及注意事项,细至约帮(相当于拼车)、就道、行舟、升车、度山、出官、工仆、用物、养生、至都、场具等具体事宜,堪称当年南粤学子的“高考指南小红书”。细阅后可知,当年进京赶考,最晚得于冬季出发,先沿水路逆流行而至韶州,换乘车马后翻越南岭,再循赣、湘二途水陆并进北上,历时三月左右才能赶上春闱会试。途中免不了遭遇自然灾害、盗匪、疾病等严峻考验,可谓“九生一死”。
或许是在赶考途中的有所参悟,林伯桐最终放弃了这一得冒生命危险的艰难事。幸而适逢阮元来粤创办学海堂,受其赏识的林伯桐成为了最早的一批学生,后成为其托付的八大学长之一。在学海堂期间,林伯桐创立月亭学派,主张考据与义理并重,兼采汉儒经学与朱熹理学,尤以《毛诗》研究为核心,并与其弟子陈灃先后编撰《学海堂志》,硕果累累,其事略及主要诗文在《广州大典》收录的《修本堂丛书》中有具体记载。道光二十四年(1844年),林伯桐任德庆州学正,卒于任上,入祀乡贤祠。
此墓虽只剩一块墓碑,但保存了珍贵的名儒题字,可考虑加以保护。如移藏广州碑林,那可是妥妥的真古董。但此碑还保存了“五雷岭”之土名,对研究白云山历史地理具有一定的价值。因此,笔者认为还是原地保护好了。

↑《番禺县志》之相关记载




↑《鄉賢錄》之相关记载
























↑林伯桐著《公车见闻录》
相关链接
》赞赏本站《