众所周知,FDA483使用了大量 (b)(4) 符号来隐去特定信息。对于寻求深入了解企业缺陷范围和严重程度的制药专业人士而言,这种广泛的抹去信息形成了一个巨大的解读痛点。OpenPharmSolutions将基于每个Observation中保留的"锚点信息"——如设备类型、工序节点、产品剂型、批号、检测项目等未被隐去的关键要素。其次,运用GMP法规的强制性要求矩阵(如USP<1116>、EU GMP Annex 1、ICH Q7等),反向推导出被(b)(4)遮蔽的具体行为、参数或记录缺陷。最大程度还原这些违规场景,所有推断皆是基于概率的审慎推演,不妄言分毫不差地复现(b)(4)背后被隐去的真相。美国食品药品监督管理局(FDA)于2025年底对广州某制药工厂进行检查后,发布了一份483表格,详细列举了严重的质量控制缺陷。报告显示,多批活性药物成分在未充分确认杂质含量安全的情况下被运往美国。此外,该公司未能妥善调查关于产品中发现异物的投诉,既未追溯根本原因也未采取纠正措施。检查人员还发现,公司质量部门未对合同实验室进行充分审查,无法确保其具备准确检测所需的技术能力和设备。
事件:涉及质量控制缺陷、杂质含量安全和合同实验室问题;OpenPharmSolutions将聚焦于该项进行深度解读。
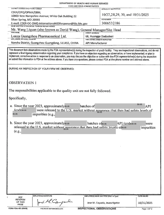
Observation 解读
Observation 1:核心在于安全性评估缺失。自 2023 年起,多批次 API 在未确保杂质安全水平的情况下释放至美国市场。
FDA 在 Observation 1 中使用了“Since the year 2023”这种跨度极长的表述。在FDA 稽查实践中,通常被理解为检查员已经掌握了系统性忽略杂质风险的证据,但检查员并没在 483 里列出所有受影响批次,而是等待企业在回复中自己去翻箱倒柜做回顾。如果企业回复时回顾不全,可能会触发 Warning Letter。
Observation 2:核心在于投诉调查流于形式。针对“黑点”和“异物”的投诉,企业既未检查留样,也未要求客户退回样本进行根因分析,且未采取 CAPA 便继续放行相关批次。
FDA 在描述黑点(Black particles)和异物(Foreign matters)投诉时,使用了 “For example” 引导 a 和 b 两个具体案例。在 FDA 的语境中,“For example” 通常意味着检查员在投诉日志(Complaint Log)中看到了一连串类似但未被彻底调查的记录,但只选了最具代表性、证据链最完整的两条写进 483。
Observation 3:核心在于外部供应商管理失控。企业未能确保承接杂质检测的合同实验室具备必要的设备、知识和准确性。
这一条的措辞非常考究,提到了缺乏 “capabilities, equipment, and knowledge”(能力、设备和知识)。这在 483 中属于极重的语气,暗示这不仅仅是程序疏忽,而是技术上的不称职。
在针对 Lonza Guangzhou Pharmaceutical Ltd. 的这份 Form 483 中,针对“Quality Unit (质量部门)”职责履行失败的描述共出现了 3 处(涵盖了全部三项 Observation)。这种高频且直接指向质量部门(QU)的措辞,在 FDA 稽查语境下具有极强的定性意义。
• 第一处(Observation 1): “The responsibilities applicable to the quality unit are not fully followed.”(质量部门的相关职责未得到充分履行。)
• 第二处(Observation 2): “Specifically, The quality unit failed to provide adequate complaint investigations.”(具体而言,质量部门未能提供充分的投诉调查。)
• 第三处(Observation 3): “Specifically, The quality unit fails to ensure that the contract laboratory... has the capabilities, equipment, and knowledge...”(具体而言,质量部门未能确保所使用的合同实验室具备……能力、设备和知识。)
这种措辞说明了什么?
当“Quality Unit Failed”成为每一项缺陷的“主旋律”时,它传递了以下三个严厉的监管信号:
A. 从“单点故障”上升为“系统性失效(Systemic Failure)”
如果 483 只是描述“某批次杂质超标”,那可能只是生产部门的操作失误;但当措辞变为“质量部门未能确保安全水平”或“质量部门未能确保实验室能力”时,FDA 的矛头直接指向了质量管理体系(QMS)的顶层设计。
这说明检查员认为,工厂发生的杂质问题(Obs 1)、黑点异物投诉(Obs 2)以及供应商管理漏洞(Obs 3)并不是孤立的,而是因为质量部门这道“最后防线”已经......
B. 触发 21 CFR 211.22 的直接违规
在 FDA 法规中,21 CFR 211.22 规定质量部门拥有放行或拒绝所有组件、容器、封口、在制品和成品的最终权力。
483 中反复强调 QU 的失败,是在为后续可能签发的警告信(Warning Letter)定基调。FDA 正在建立证据链,证明企业违反了其最核心的法定职责——即质量部门必须对所有影响产品质量的行为负责。
C. 管理层责任(Management Oversight Failure)的缺失
在 Observation 3 中,FDA 特别提到了质量部门未能识别合同实验室在“知识和设备”上的匮乏。 此类关于“能力、设备和知识”的表述,反映监管机构对企业在风险识别、技术支持及质量监督机制有效性方面的合规关注。
📢 分享智慧,传递价值。如果你喜欢这篇文章,请点赞,评论和转发!

重要声明:本公众号分享的信息均来源于网络,OpenPharmSolutions致力于提供准确和有价值的内容。如果您发现任何内容存在问题或不适请通过后台联系我们,我们将及时进行处理。